Ergebnisse des CATCHY Projekts

Dies sind, in Rechenbeispielen dargestellt, einige der Ergebnisse des wissenschaftlichen Projektes CATCHY*.
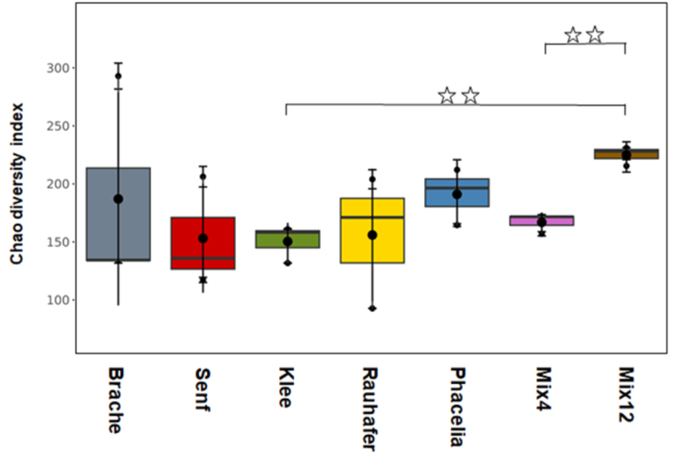
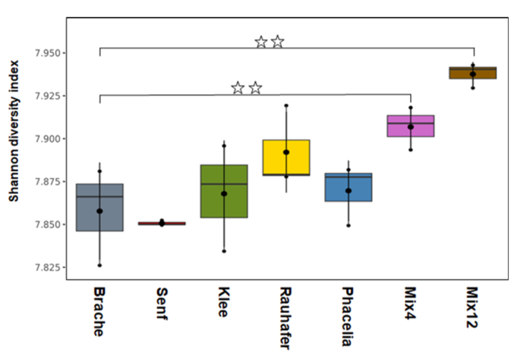
Über neun Jahre (seit 2015) wurden Einzelkomponenten als Reinsaaten und Zwischenfruchtmischungen mit einer Schwarzbrache in Fruchtfolgeversuchen verglichen und ihre Wirkung untersucht. Es zeigte sich, dass die gezielte Kombination von Arten in Mischungen zu mehr Resilienz im Pflanzenbausystem führt.
 
 
         
         
         
         
         
        Versuchsstandorte:
Asendorf, Niedersachsen
Triesdorf, Bayern
Versuchsaufbau:
- Standort-gespiegelte und randomisierte Exaktversuche
- Zwei Fruchtfolgen in zwei Wiederholungen mit je einem Jahr versetztem Fruchtfolge-Startpunkt
- Versuchsfläche: 1,2 ha
- Parzellengröße: 9x9 m
Fruchtfolge:
A) Winterweizen (WW), Zwischenfrucht (ZF), Silomais (SM)
B) WW, ZF, SM, WW, ZF, Ackerbohne (AB)
Versuchsvarianten:
Brache, Gelbsenf, Alexandrinerklee, Phacelia, Rauhafer,
Mix4 (Gelbsenf, Alexandrinerklee, Phacelia, Rauhafer),
Mix12 (Felderbse, Sorghum, Phacelia, Öllein, Pannonische Wicke, Rettich,
Ramtillkraut, Sonnenblume, Leindotter, Perserklee, Schweden- und Inkarnatklee)
 
         Das CATCHY-Projekt hat das Verständnis für die vielfältigen Vorteile von Zwischenfrüchten im Ackerbau deutlich verbessert. Dabei sind die Eigenschaften und Wirkungen von unterschiedlichen Pflanzenarten und deren Gesellschaften sehr komplex. Bei Betrachtung der Gesamtheit aller Parameter zeigt sich, dass die gezielte Kombination von Arten in Mischungen zu mehr Resilienz im Pflanzenbausystem führt. Zur Realisierung der vielfältigen Vorteile ist eine kontinuierliche Integration der richtigen Zwischenfrüchte in die Fruchtfolge essenziell.
Das CATCHY-Projekt hat das Verständnis für die vielfältigen Vorteile von Zwischenfrüchten im Ackerbau deutlich verbessert. Dabei sind die Eigenschaften und Wirkungen von unterschiedlichen Pflanzenarten und deren Gesellschaften sehr komplex. Bei Betrachtung der Gesamtheit aller Parameter zeigt sich, dass die gezielte Kombination von Arten in Mischungen zu mehr Resilienz im Pflanzenbausystem führt. Zur Realisierung der vielfältigen Vorteile ist eine kontinuierliche Integration der richtigen Zwischenfrüchte in die Fruchtfolge essenziell. 

Der Effekt auf die Fruchtfolge durch eine Zwischenfrucht ist nicht leicht zu messen. Mit dem Projekt CATCHY, sind mit aufwändigen Forschungsmethoden, neue Erkenntnisse über die Wirkung einer Zwischenfrucht entstanden.
Das Zwischenfruchtprojekt CATCHY ist ein Teil der Initiative „Boden als nachhaltige Ressource für die Bioökonomie – BonaRes“ und wurde vom Bundesministerium für Bildung und Forschung (BMBF) 2015 ins Leben gerufen. Über insgesamt neun Jahre wurde in zwei unterschiedlichen Fruchtfolgen untersucht, wie sich Zwischenfrüchte auf den Boden und dessen Biologie und damit auf die Erträge der Hauptfrüchte auswirken. Neben der DSV sind an dem Projekt Mikrobiologen aus Bremen, Bodenkundler aus Hannover, Pflanzenernährer aus Gatersleben, Pflanzenbauer aus Triesdorf und Sozioökonomen aus Gießen beteiligt. Die DSV bringt ihre langjährige Erfahrung mit Zwischenfrüchten und der Zusammenstellung von intelligenten Mischungen für den Zwischenfruchtanbau ein. 
